平方是一种运算,一个数的平方是这个数字与它的本身相乘所得的乘积,平方也可以视为求指数为2的幂的值。例如a的平方可以表示为a×a。除了代数中的计算,平方也是面积的单位,例如平方米、平方厘米等。

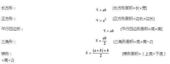
平方的公式

房间平方怎么计算

平方是面积的计量单位,所以只需带入面积的计算公式即可,以方形房间为例,计算平方的公式为:室内长*室内宽(单位米),比如房间的长度为5米,宽度为4米,则房间的面积为4米*5米=20平方米,若是房间的形状比较特殊,只需要计算地板的面积即可。

算术平方根

一般地说,若一个非负数x的平方等于a,即x²=a,则这个数x叫做a的算术平方根。

性质

双重非负性

在x=√a中a

1.a≥0(若小于0,则为虚数)

2.x≥0

与平方根的关系

正数的平方根有两个,它们为相反数,其中非负的平方根,就是这个数的算术平方根。

以上就是平方算法,希望对你有所帮助。

1.《房子面积怎么算平方米 平方怎么算 公式是什么》援引自互联网,旨在传递更多网络信息知识,仅代表作者本人观点,与本网站无关,侵删请联系页脚下方联系方式。

2.《房子面积怎么算平方米 平方怎么算 公式是什么》仅供读者参考,本网站未对该内容进行证实,对其原创性、真实性、完整性、及时性不作任何保证。

3.文章转载时请保留本站内容来源地址,https://www.lu-xu.com/jiaoyu/323586.html