当前位置:首页 > 教育

根号x的原函数 定积分从0积到1,被积函数式为根号下X.原函数怎么求,求通俗解法,

题目:

定积分从0积到1,被积函数式为根号下X.原函数怎么求,求通俗解法,如果根号下是一个简单的一次函数呢?怎么办

解答:

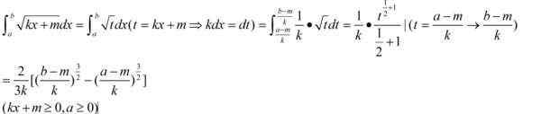
这类题都是x^a型的啊,因为x^(a+1)的导数等于(a+1)x^a哦【a为常数】.所以原式=x^(3/2)/(3/2)|(x=0→1)=2/3 再问: 如果根号下是一个简单的一次函数呢?怎么办 再答: 你好,这种就是多一步而已嘛~你可以把kx+b看做一个整体,下面两种方法皆可~关键就是换元那一步啦~ 你可以用具体数值带入计算~ 那样子容易得多~再问: 非常感谢,可是我对微积分比较头疼,所以还想请你解释下第一个图片中,括号里的是什么意思啊, 再答: 额,我写得不好~ 应该写在最前面的~

1.《根号x的原函数 定积分从0积到1,被积函数式为根号下X.原函数怎么求,求通俗解法,》援引自互联网,旨在传递更多网络信息知识,仅代表作者本人观点,与本网站无关,侵删请联系页脚下方联系方式。

2.《根号x的原函数 定积分从0积到1,被积函数式为根号下X.原函数怎么求,求通俗解法,》仅供读者参考,本网站未对该内容进行证实,对其原创性、真实性、完整性、及时性不作任何保证。

3.文章转载时请保留本站内容来源地址,https://www.lu-xu.com/jiaoyu/531647.html

上一篇

江西艺术设计学院 江西艺术类大学有哪些

下一篇

生物必修三知识点总结 高中生物必修三知识点总结

三角函数的性质 高中数学6种三角函数图像与性质

  • 三角函数的性质 高中数学6种三角函数图像与性质
  • 三角函数的性质 高中数学6种三角函数图像与性质
  • 三角函数的性质 高中数学6种三角函数图像与性质

遭网暴20岁“成都确诊女孩”发文:我也是一个受害者网友鼓励刷屏

  • 遭网暴20岁“成都确诊女孩”发文:我也是一个受害者网友鼓励刷屏
  • 遭网暴20岁“成都确诊女孩”发文:我也是一个受害者网友鼓励刷屏
  • 遭网暴20岁“成都确诊女孩”发文:我也是一个受害者网友鼓励刷屏

根号45 把根号45/48化简

题目:把根号45/48化简解答:根号45/48=√(15/16)=√15/4;请采纳如果你认可我的回答,敬请及时采纳,~如果你认可我的回答,请及时点击【采纳为满意回答】按钮~~手机提问的朋友在客户...

三角函数倍角公式 三角函数中常用的二倍角公式有哪些

三角函数倍角公式 三角函数中常用的二倍角公式有哪些

在高中数学中,三角函数一直是一个很重要的部分,三角函数中常用的二倍角公式有哪些呢?以下是小编查询整理的相关资料,希望可以帮助到同学们!三角函数二倍角公式tan2A=2tanA/[1-(tanA)^...

arctanx的导数是什么 arctanx的导数是什么 反函数求导公式

arctanx的导数是什么 arctanx的导数是什么 反函数求导公式

反函数与原函数关于y=x的对称点的导数互为倒数。设原函数为y=f(x),则其反函数在y点的导数与f"(x)互为倒数(即原函数,前提要f"(x)存在且不为0)。arctanx求导方法设x=tanyt...

arctan求导 arctanx的导数是什么 反函数求导公式

arctan求导 arctanx的导数是什么 反函数求导公式

反函数与原函数关于y=x的对称点的导数互为倒数。设原函数为y=f(x),则其反函数在y点的导数与f"(x)互为倒数(即原函数,前提要f"(x)存在且不为0)。arctanx求导方法设x=tanyt...

反函数求导公式 arctanx的导数是什么 反函数求导公式

反函数求导公式 arctanx的导数是什么 反函数求导公式

反函数与原函数关于y=x的对称点的导数互为倒数。设原函数为y=f(x),则其反函数在y点的导数与f"(x)互为倒数(即原函数,前提要f"(x)存在且不为0)。arctanx求导方法设x=tanyt...

tan求导 arctanx的导数是什么 反函数求导公式

tan求导 arctanx的导数是什么 反函数求导公式

反函数与原函数关于y=x的对称点的导数互为倒数。设原函数为y=f(x),则其反函数在y点的导数与f"(x)互为倒数(即原函数,前提要f"(x)存在且不为0)。arctanx求导方法设x=tanyt...