当前位置:首页 > 教育

全微分方程 求全微分方程(e^(-y))dx-dy=0的通解

题目:

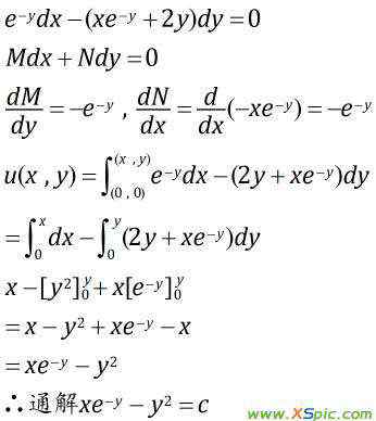
求全微分方程(e^(-y))dx-(xe^(-y)+2y)dy=0的通解请用和分项组合两种方法来解,

解答:

曲线积分法:自由组合:这个不容易想到,靠经验了

名师点评:

wghdbniod00701

1.《全微分方程 求全微分方程(e^(-y))dx-dy=0的通解》援引自互联网,旨在传递更多网络信息知识,仅代表作者本人观点,与本网站无关,侵删请联系页脚下方联系方式。

2.《全微分方程 求全微分方程(e^(-y))dx-dy=0的通解》仅供读者参考,本网站未对该内容进行证实,对其原创性、真实性、完整性、及时性不作任何保证。

3.文章转载时请保留本站内容来源地址,https://www.lu-xu.com/jiaoyu/558008.html

上一篇

计算机适合女生的岗位 女生学计算机适合的岗位有哪些

下一篇

安徽工业大学工商学院 安徽工业大学工商学院评价及王牌专业

燃气热水器增压泵 家住8楼,自来水压力不是很大,用燃气热水器的时候不容易打着火,能装增压泵吗

题目:家住8楼,自来水压力不是很大,用燃气热水器的时候不容易打着火,能装增压泵吗我家在8楼,自来水压力不是很大,用燃气热水器的时候不容易打着火,尤其是在冷水阀门打开的时候老熄火.这样的情况能装自来...

红洋葱和白洋葱的区别 洋葱有两种颜色,我想知道黄皮的和红皮的有什么区别

题目:洋葱有两种颜色,我想知道黄皮的和红皮的有什么区别解答:红皮洋葱口味辣一些,白色和黄色洋葱就淡多了.红皮洋葱因含有较多的抗氧化剂,食疗效果比白皮洋葱要好很多.黄皮洋葱品质好,休眠期长,耐贮性高...

怎么判断排列还是组合 怎么判断排列还是组合

怎么判断排列还是组合 怎么判断排列还是组合

排列和组合的区别主要在两方面,一是顺序,排列指的是从n个不同的元素中,百取r个不重复的元素,按次序排列,称为从n个中取r个的无重复排列;组合指的是从n个不同的元素中,取r个不重复的元素,组成一个子...

辣妹组合成员 辣妹组合四人阵容再重组 贝嫂维多利亚缺席

辣妹组合成员 辣妹组合四人阵容再重组 贝嫂维多利亚缺席

据国外媒体报道,英国著名女子流行组合辣妹(The Spice Girls)确定将以四人阵容重组,贝嫂维多利亚·贝克汉姆(Victoria Beckham)是唯一不参加这次重组的成员。  1996年...

光波组合功能怎么使用 光波炉怎么用 光波炉使用方法【详细介绍】

其实从某种程度上我们可以认为光波炉和微波炉一样,它们两者的功能和作用都很相似。光波炉可以加热已冷却的食物,也可以将一些生的食物煮熟。甚至有些时候我们可以只使用光波炉就做出一顿美味的佳肴。如果你不会...

组合的拼音 ng这个有读音的吗拼音教材里有ng这样一个组合的读音,中文表示读“嗯”,还标有声调.我不明白这两个音节能发出什么样的读音

题目:ng这个有读音的吗拼音教材里有ng这样一个组合的读音,中文表示读“嗯”,还标有声调.我不明白这两个音节能发出什么样的读音,有这样组合的读音的吗?那么"en"不是也发"嗯"吗,我读书时怎么就没...

哪两种颜色可以调成蓝色 哪两种颜色可以配成一种颜色?(如蓝色和黄色可以配成绿色)

题目:哪两种颜色可以配成一种颜色?(如蓝色和黄色可以配成绿色)解答:这是我找来的 你自己看看先红+黄=橙色红+蓝=紫色蓝+黄=绿色红+黄+蓝=黑色.粉柠檬黄 = 柠檬黄 + 纯白色藤黄色 = 柠檬...

热敏开关 热敏开关怎么运转的 两种热敏开关原理及相关介绍

导语:热敏 开关 是一种通过温度来控制线路断开还是闭合的开关,主要应用于生活中一些需要控制温度的电器或是一些更 高科 技的领域上。一般的热敏开关都涉及两片金属片的受热膨胀,那么具体来说,热敏开关究...