
作者|冷研作者团队-吴畋
字数:2516,阅读时间:约9分钟
编者按:西班牙大文豪塞万提斯在他晚年的短剧《伪装的比斯开人》中,借着风尘女子克里斯蒂娜之口,道出了当时欧洲军人中人尽皆知的常识:西班牙步兵一度堪称整个欧洲最优秀的步兵。从1525年生擒法国“骑士王”弗朗索瓦一世的帕维亚会战,到1643年在法国统帅大孔代面前虽败犹荣的罗克鲁瓦会战,可以说西班牙步兵毫无争议地享有欧洲第一步兵的称号。他们的手下败将里不仅有骑士之国法兰西的骄悍骑兵、奥斯曼土耳其依靠“血税”精心打造的耶尼切利,也有荷兰、瑞典这样经历过“军事革命”国度里所谓的“新式军队”。
姐姐,你该知道,那些打仗的人正在讨论是骑兵还是步兵好,据他们调研所知,还得是西班牙步兵最好。
——塞万提斯《伪装的比斯开人》
从帕维亚到罗克鲁瓦,西班牙步兵最强大
作为一个海外殖民地远达各大洲、欧洲属地遍布各地的庞大帝国,西班牙军队的步兵也是鱼龙混杂,但其中最为重要的部队单位则是主要由核心属地西班牙、意大利和南尼德兰兵员组成的团级单位tercio,也就是中文网络上各种明清之际穿越小说中流传甚广却实属误译的“西班牙大方阵”。本文就来理清关于所谓“西班牙大方阵”的具体情况和相关误传。

▲塞万提斯剧作《伪装的比斯开人》,他曾长期生活在西班牙军队和塞维利亚、马德里两座大都市“不那么正派的环境”里,听到类似的对白并将它写入剧作实在是不足为奇
实际上,tercio一词字面意思是“三分之一”,其具体出现缘由众说纷纭,有人觉得它出自将旧部队以三个单位为一组加以整编的举动,有人认为它源自中世纪军队习惯性分成三个“战队”的传统,有人主张这个名字来自西班牙军队在意大利半岛的三个主要驻地,还有人指出它可能与步兵的三种主战兵器有关……总之与“大方阵”毫无关联,因此,笔者在此冒昧将其译作“三一团”。

▲收藏于埃斯科里亚尔宫殿的尼科洛·格拉内洛画作《西班牙三一团在特塞拉诸岛登陆》,这幅已成为西班牙国家遗产的湿壁画描绘了1583年西军将法军逐出亚速尔群岛的情形
正如上图所示,许多人固有印象中的“tercio”就是周边配有若干火枪兵、中心则是庞大笨重“长枪森林”的方阵队形,英文和中文材料中的“大方阵”大约就是这样看图说话的典型结果。但“三一团”实际上仅仅是一个团级行政单位。从16世纪末开始,西班牙步兵在实战中往往是从一个或多个“三一团”中抽调部队编成一千人左右的“中队”(escuadrón)作战单位,而且中队里的长枪兵几乎总是少于火枪兵,有时甚至只能占到总兵力的1/3左右。

▲17世纪上半叶部分会战中西班牙步骑兵中队人数状况
真正的西班牙长枪方阵——排个队也得绞尽脑汁
当然,西班牙中队里的长枪兵的确会结成方阵(cuadro),不过方阵种类也颇为繁杂,存在escuadrón cuadro de terreno(中队野战方阵,横纵人数比例为7:3)、escuadrón cuadro de gente(中队战士方阵,横纵比例1:1)、escuadrón de doble frente o doblete(双倍正面中队,横纵比例为2:1)、escuadrón de gran ferente(大正面中队,横纵比例3:1)等多种类型。

▲笔者自绘西班牙中队示意图,图中灰色部分为长枪方阵,红色为卫阵,深黄色为袖阵
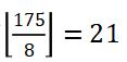
在16-17世纪的欧洲,有不少兵书花费了大量篇幅讲述如何根据长枪兵具体人数和列队目标迅速计算出应当排成具备多少列纵深的队形,这实际上已经涉及到开平方根计算:假定一个拥有名长枪手的中队需要列成横纵人数比例为的方阵,那么它就应当使用纵深为

列的队形。比如说,若是一个拥有175名长枪兵的500人中队列成横纵比为7:3的野战方阵,它就应当排成前后

列,左右

伍的队形。可是,考虑到人数往往并不凑巧,徒手开平方根后取整也并非易事,这些兵书就时常会附有计算表格以供查表,后来,以达维拉·奥雷洪·加斯东为代表的军人们干脆主张无需考虑计算细节,直接根据实际状况将方阵排成5-9列即可。

▲出版于1632年的西班牙兵书《军事规章、命令和中队队形》中给出的方阵列队横-纵人数表格,上方为开平方根过程,左下为战士方阵,右下为野战方阵,A列代表长枪兵人数,B列代表前后深度和左右宽度
长枪方阵在列队和机动时,每名长枪兵大约可以占据3×7尺(约96×224厘米)的空间,而后一旦投入步兵交战,前后距离就会大大收紧,但左右间隔仍然大体维持原有状况,前者是为了让后列长枪兵投入战斗,后者则是要让长枪兵能够充分运用手中5-5.5米长的兵器,不至于因太过密集的队形妨碍使枪,时人认为,长枪方阵决不是一线平推了事,使用长枪就像从前使用剑盾一样,是一门复杂精细的个人手艺,长枪兵个人就更不应当抱有依赖左右协助的想法。以17世纪初的兵书作者为例,沃尔豪森在《步兵兵法》中认为长枪兵对战时人均占地应为1.5×1.5步(大致相当于3×3尺),《兵法原则》的作者比永则认为长枪方阵在突击敌军时应当给相邻两人之间留出1尺隔离空间。只有在抵抗骑兵冲击时,长枪方阵才得收紧成“肘挨肘、肩并肩”的最密集队形——这是因为长枪在对付骑兵时会斜向上45°角插在地里,长枪兵左手握枪,右手准备拔剑,因而可以收拢到极限状况,而在对付步兵时却需要双手使枪,也就需要更大的活动空间。

▲电影《佣兵传奇》中罗克鲁瓦之战的西班牙反骑兵方阵
其实,西班牙人的这种队形间距并不算是特立独行,早在公元前1世纪,“战术家”阿斯克列庇欧多图斯就给出过外形与它颇为相似的马其顿军阵列队状况:“疏开队形”人均占地是4×4肘尺(约185×185厘米)、“密集队形”是2×2肘尺(约92×92厘米)、最密集的“锁盾防御队形”则仅有1×1肘尺(约46×46厘米)。

▲1600年纽波特之战中的两军长枪方阵,图中左侧为荷军,右侧为西军
长枪的确在步兵中占有重要乃至崇高的地位,它是中世纪末期步兵直面骑兵的利器,也是16世纪步兵的主要近战兵器,象征着白刃格斗和正面对抗的勇气,迟至1658年,还有评论家指出西班牙佛兰德军团里的长枪兵部队配备了部队里声望最高、经验最丰富的军官。而且在尊崇古典时代战争模式的16世纪,长枪时常让军事著作家想起马其顿和罗马的常胜军队——尽管罗马的投枪(pila)实际上属于投掷兵器,却还是被许多人强行和长枪联系在一起——甚至得到了“战场上的女王”、“兵器中的女王”这种尊贵称号。

▲古罗马军事著作《埃里安战术》英译版扉页,荷兰的莫里斯亲王声称自己于1594年从埃里安著作中得到启发,创造了“反向行进射击”的火枪兵战术,但他更可能是抄袭了西班牙佛兰德军团的打法
“空心的弓”——西班牙火枪兵
不过,随着时间的流逝和火器的进步,长枪尽管仍然是不可或缺的兵器,西班牙军队中长枪兵的角色却从决定性的冲击工具演变成火枪兵的掩护者,而且普通长枪兵的军饷也只有3杜卡多,普通火枪兵却有4个杜卡多,只有配备四分之三甲(全重约16-18千克)的长枪兵才能冒着巨大的体力消耗,赚到与火枪兵相同的收入。其实,按照当时盛行的地理决定论观点,长枪这种兵器更适宜德意志人等人高马大的“北方人”,火枪才适合西班牙人、意大利人这样身材相对矮小、敦实、灵活的“南方人”。

▲身着四分之三甲的长枪兵,他们通常位于长枪方阵前列,享有较高的荣誉和地位,不过,西班牙军队也普遍认为这样的披甲长枪兵过于笨重,不大适应北非战场,时常出现体力耗竭或不慎溺死的事件

▲哈布斯堡王朝属地在三十年战争前夕征募士兵的年龄标准,可见火枪兵相对而言的确更需要较为灵活的年轻人
西班牙火枪兵起初主要使用较为轻便的火绳枪(arcabuz),它源于意大利语arcobugio,原意为“空心的弓”、“从洞(即枪膛)里发射箭(即子弹)的兵器”,全重10-12磅(4-5千克),枪膛长4-5掌尺(0.8-1米),通常发射0.75-1盎司(21-29克)的铅弹。数学家兼弹道专家塔尔塔利亚(此人最早解决了一元三次方程的求根问题)认为弹重1盎司的火绳枪射程可达300步,但还是在100-150步(约65-112米)以内射击较能发挥威力。野战中,军队则往往会选择距离更近的开火方式,佛兰德军团统帅阿尔瓦公爵就认为应当尽量增强射击威力,尽可能延迟火绳枪的第一轮射击,甚至要拖延到敌军推进至距离己方仅有两根长枪远(大约10米)后再开火,这样就能“弹无虚发”。

▲《征服突尼斯》系列挂毯中描绘的1535年左右西班牙火绳枪兵作战示意图
从16世纪60年代起,西班牙军队开始在野战中使用威力更大但也更沉重的“雀鹰”火绳枪(mosquete),它全重15-20磅(5-6.5千克),枪膛长约5-6掌尺(1-1.2米),通常发射1.5-2盎司(42-58克)重的铅弹。“雀鹰”起初是一种用于守城的枪支,需要借助叉架进行射击,虽然射速较慢,却拥有更好的射程和穿透力,因而也逐步进入野战兵器之列。

▲火绳枪(上)与“雀鹰”火绳枪(下)的比较图,其结构基本一致,仅仅是大小存在若干差异
16世纪末的西班牙弹道专家科利亚多认为“雀鹰”极限射程可达600步,有效射程至少也有200步,17世纪的各路军事手册作者普遍认为“雀鹰”能够有效杀伤800-1000尺(约222-280米)范围内的目标,同时代的英国人也对它赞誉颇多:在低地战场和西班牙人交手多年的迪格斯主张,训练部队使用“雀鹰”命中相隔160-200步(约120-150米)的标靶,同样久经沙场的巴威克认为“雀鹰是威力极强的兵器……可以杀死200步开外的披甲人员”。奥地利格拉茨军械库在20世纪80年代进行的藏品试验也证明,“雀鹰”能够在100米距离上击穿2-4毫米厚的板甲。

▲1634年绘制的油画《弗勒吕斯大捷》中两军“雀鹰”火绳枪兵交战情形
无论如何,在技艺娴熟的火枪兵手中,在射击者能够更安静、更耐心瞄准的场合,各种火绳枪都能够发挥出相当可怕的杀伤力。1579年的马斯特里赫特围城战就提供了一个例证:守城的荷兰军队里竟有许多人被西班牙火枪兵射中头部阵亡,西班牙哈布斯堡王朝的创始人查理五世也将他打败法兰西骑兵、瑞士步兵和北非异教徒的辉煌战果归于西班牙军人的火绳抢,时人甚至认为“火绳枪的作用很大,仅仅依靠它就能够频繁取胜”。

▲电影《阿拉特里斯特》(Alatriste,一译佣兵传奇)中1621年布雷达围城战西班牙火枪兵狙杀守城荷兰士兵瞬间
枪尖与火绳——实战中的西班牙中队
显而易见的是,无论火枪兵有多么强势,在刺刀广泛投入应用之前,他们的近战自卫能力都颇为薄弱,因而就需要长枪兵、戟兵等近战兵种的保护。

▲1701年的西班牙中队战斗队形示意图,此时已是长枪兵和“三一团”消亡的前夜
按照西军当时的惯例,长枪方阵的两个侧边可以分别配备3-5个伍的火枪兵,形成“卫阵”(guarnision),卫阵中的火枪兵负责给长枪方阵提供火力支援,长枪方阵也会在敌军骑兵前来突袭时为火枪兵提供保护:这也是卫阵宽度不超过5个伍的原因所在,如果人数太多,就会游离在长枪的保护范围之外,甚至由于过度拥挤导致己方长枪无法杀伤敌人。

▲《奇袭加来》挂毯中的“雀鹰”火绳枪兵形象,由于火绳枪的特殊属性,每一名火枪手都可以说是一座行走的火药库,因此需要保持较大间隔以防意外事故,他们的人均横向占地一般都在4-5尺左右
大多数火枪兵和多数军官则要单独列成若干个“袖阵”(manga),袖阵兵力一般在100-400人之间,会排成前后6-9列队形,与留在长枪方阵附近的卫阵不同,袖阵既可以就近停留在长枪兵附近作战,也可以独立出战,因而需要配备较强的军官班底,并承担起西班牙“中队”中火力输出的主要任务。

▲斯奈尔斯画作《弗勒吕斯会战》中列成完整长枪方阵、卫阵和袖阵的西班牙步兵中队
不过,西班牙的“三一团”虽然一度兵精将勇,也曾屡屡力挫看似“先进”的荷兰军队(某种意义上可以说是猴版西班牙军队)、瑞典军队乃至潜力巨大的法国军队,但终究要受到国力和政治因素的种种掣肘,等到更集权、更具地理优势的法兰西摆脱内乱阴影后,西班牙步兵也就不得不交出他们的头把交椅了。
本文系冷兵器研究所原创稿件,主编原廓、作者吴畋,任何媒体或者公众号未经书面授权不得转载,违者将追究法律责任。部分图片来源网络,如有版权问题,请与我们联系。
1.《冷兵器研究所 数学不好还想在16世纪当步兵指挥官?西班牙大方阵,你有多少误解》援引自互联网,旨在传递更多网络信息知识,仅代表作者本人观点,与本网站无关,侵删请联系页脚下方联系方式。
2.《冷兵器研究所 数学不好还想在16世纪当步兵指挥官?西班牙大方阵,你有多少误解》仅供读者参考,本网站未对该内容进行证实,对其原创性、真实性、完整性、及时性不作任何保证。
3.文章转载时请保留本站内容来源地址,https://www.lu-xu.com/lishi/1893100.html